Сайт представляет компанию в интернете, помогает продавать товары или услуги, а еще притягивает новых клиентов. Чтобы люди чаще заходили на ресурс, он должен быть привлекательным.
Кроме потенциальных покупателей, сайт оценивают поисковые роботы. У них свои требования к внешнему виду ресурса, и их важно соблюдать, чтобы быть на первых строчках выдачи. Разберемся, как структура сайта влияет на SEO-продвижение и на что опираться, чтобы сделать ее удобной.
Структура сайта с точки зрения SEO представляет собой логическую схему распределения страниц по категориям. Пользователи видят ее иначе: для них она показывает путь к определенному товару или услуге, а еще формирует пользовательский опыт в зависимости от оформления.
Пример: когда специалисты создают интернет-магазин, они проводят анализ, как расположить товары логично и понятно для людей. Чтобы покупатели, которым нужна, например, газонокосилка, открыли каталог, выбрали категорию «Сад», а затем «Садовая техника» и «Газонокосилки». При этом не попали в соседний раздел и не ушли с сайта из-за того, что он нелогичный.
Существует несколько видов структур для разных ресурсов:
Линейная — подходит для одностраничников или визиток. Этот вид выглядит как цепочка из равноценных блоков. Пример: «Главная» → «О компании» → «Услуги» → «Контакты». Она работает как презентация и похожа на нее по оформлению — каждый блок логически вытекает из предыдущего.

Так выглядит схема для линейной структуры
Линейно-разветвленная — подходит для сайтов-визиток компаний с небольшим ассортиментом товаров или услуг. Этот вид выглядит как линейная структура, но некоторые блоки могут содержать ответвления. Пример: есть «Главная», которая делится на «О компании», «История компании» и «Новости». Среди других страниц — «Услуги» и «Контакты», на последней можно посетить раздел «Наши адреса».
Она решает те же задачи, что и линейная: презентует один товар или услугу. При этом создатели сайтов с такой структурой дают пользователям небольшую свободу действий. Например, человек может не только увидеть номер телефона, но и адреса офисов компании и прийти туда без звонка.

Так выглядит схема для линейно-разветвленной структуры
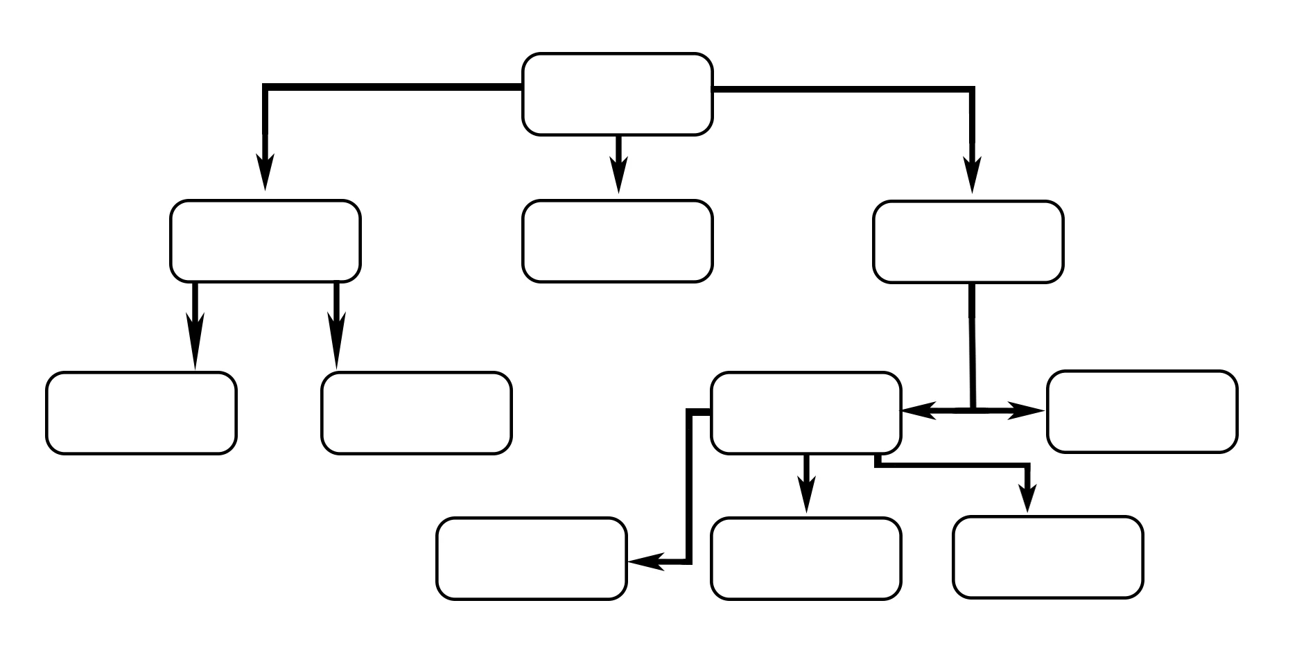
Древовидная или иерархическая — подходит для большинства ресурсов с разными задачами. Например, для интернет-магазина, онлайн-школы, агентства. Суть ее в том, что общие разделы делятся на ряд подразделов для определенных товаров или услуг. Она позволяет компании подробно рассказать обо всех направлениях. Это полезно с точки зрения продвижения и дает пользователю больше информации о конкретном товаре или услуге.

Так выглядит схема для древовидной структуры
Решетчатая или блочная — подходит для больших каталогов, потому что с каждой страницы можно перейти на любую другую. Еще по такому принципу может строиться сложный лендинг, когда главная рассказывает о товаре, а ответвления раскрывают каждую из характеристик.

Так выглядит схема для решетчатой структуры
При продвижении интернет-магазинов и других подобных веб-сайтов через SEO лучше всего подойдет древовидная структура. Она привычна большинству пользователей, проста в создании и обладает небольшим количеством ограничений с точки зрения CMS (Content management system — система управления контентом).
Поисковые системы Яндекса и Google регулярно проверяют интернет-страницы по ряду требований. Если их не соблюдать, ресурс будет хуже индексироваться и люди не смогут найти компанию через поиск.
Вот несколько основных правил:
Структура удобная, логичная и понятная для пользователей. Если люди могут легко перейти с одной страницы на другую и представляют, что их там ждет, выше вероятность покупки. Клиенты редко хотят тратить время на то, чтобы разобраться в сложной структуре: проще купить у конкурента. Чем чаще потенциальные покупатели закрывают сайт и уходят, тем хуже для ранжирования.
Сайт содержит не более трех уровней вложенности. Например, домен → категория товара → подкатегория → товар. Если вложенных страниц больше, у всех последующих могут быть проблемы с индексацией.
У каждой страницы есть отдельный URL (ссылка), понятный людям. Отдельный адрес нужен, чтобы поисковые системы могли сканировать, индексировать и предлагать пользователям подходящий контент. Вложенность важно прописать в URL словами, чтобы людям было проще запомнить путь.

Так может выглядеть понятный URL на странице «Кейсы»
Сайт не содержит дублей. Они могут возникать из-за невнимательности. Например, веб-мастер оформил сайт, перенес каталог из 1С, сопоставил с поисковыми запросами и не нашел некоторых страниц. Создал с нуля, наполнил контентом, а они были, но в других разделах. Дубли плохо влияют на видимость ресурса в поисковых системах: запросы пользователей распределяются между двумя страницами, и в итоге выдача страдает у обеих.
Служебная информация не индексируется. К служебным относятся страницы регистрации, авторизации или результатов поиска. Их нужно скрывать в файле robots.txt. Уникальной информации на них нет, поэтому они мешают поисковым системам считывать основное содержимое сайта.
Больше требований можно увидеть в справке Яндекса и руководстве Google.
Все эти принципы мы регулярно используем, когда занимаемся SEO-продвижением наших клиентов. Пример: мы оптимизировали сайт для пекарни.
Веб-мастеры не только оптимизируют готовую структуру, но часто оформляют и проектируют ее с нуля. В этом случае может быть сложнее: не всегда понятно, какой тип выбрать и что добавить. Мы советуем сделать следующее:
Список обязательных блоков зависит от сферы деятельности компании. Например, интернет-магазину обязательно нужна главная, каталог, условия оплаты и доставки. Дополнительно можно завести страницы о компании, новостные или блог со статьями. Там можно размещать полезный контент, который будет влиять на следующие факторы:
Кажется, что организовать или изменить структуру сайта несложно, поэтому ее можно сделать без привлечения профильных специалистов. Но на самом деле лучше сразу обратиться к грамотному SEO-оптимизатору с опытом. С его помощью легче получить логичную и понятную структуру с минимумом ошибок.
Вот как работают наши специалисты в Demis Group:
Если вам нужна помощь с разработкой, проектированием, организацией и оформлением страницы для бизнеса, можете обратиться к нашим специалистам.